Mutlak değer fonksiyonu nedir?
🪄
Testler ve Çalışma Kağıdı mı Lazım?
İstediğin konuyu yaz; MEB uyumlu çoktan seçmeli testler, konu özetleri ve çalışma kağıtları saniyeler içinde hazırlansın. Ücretsiz PDF indir!
⚡ Hemen Hazırla
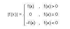
biçiminde tanımlanan y = |f(x)| fonksiyonuna mutlak değer fonksiyonu denir. f(x) = 0 eşitliğini sağlayan x değerleri fonksiyonun kritik noktalarıdır.
Mutlak değer fonksiyonunun grafiğini çizerken fonksiyon önce parçalı biçimde yazılır, sonra da grafiği çizilir.
Not: y = |f(x)| fonksiyonunun grafiği çizilirken önce y = f(x) in grafiği çizilir. Bu grafiğin y ekseninin negatif bölgesine taşan kısmının x eksenine göre simetriği alınır.
BİR YORUM YAZIN
ZİYARETÇİ YORUMLARI - 0 YORUM
