Elektrik Akımı Tyt Fizik
Testler ve Çalışma Kağıdı mı Lazım?
İstediğin konuyu yaz; MEB uyumlu çoktan seçmeli testler, konu özetleri ve çalışma kağıtları saniyeler içinde hazırlansın. Ücretsiz PDF indir!
Bu yazımızda Tyt Fizik konusu olan Elektrik Akımı ders notları bulunmaktadır.
ELEKTRİK AKIMI
Elektrik Potansiyel Fark

Şekildeki sistemde anahtarı kapatırsak elektrikle yüklü küreler arasında bir potansiyel fark olduğundan küreler arasında potansiyeller eşitleninceye kadar yük geçişi olur. Küreler, toplam yükü yarıçapları ile orantılı olarak paylaştığında potansiyelleri eşitlenir ve K’den L’ye doğru gerçekleşen negatif yük akışı durur.
Elektrik devrelerinde uzun süreli potansiyel fark oluşturarak devredeki yüklerin akışını sağlayan devre elemanına üreteç denir.
Şekildeki devrede anahtar kapatılırsa üreteç, lambanın uçları arasında potansiyel fark oluşturur.
Bu potansiyel fark gerilim olarak da adlandırılır. Bir üreteç +1 coulombluk yüke 1 joule enerji veriyorsa üretecin gerilimi 1 volttur. SI birim sisteminde potansiyel fark (elektriksel gerilim) sembolü V, birimi Volt ve birim sembolü V dir. Türetilmiş bir büyüklük olan potansiyel fark aynı zamanda skaler bir büyüklüktür.
Elektrik Akımı
Devrede oluşturulan potansiyel fark, iletken teldeki serbest elektronlara bir kuvvet uygular. Bu kuvvetin etkisi ile elektronlar pilin negatif (—) kutbundan pozitif (+) kutbuna doğru bir titreşim hareketi yapar. Elektronların titreşimi ile oluşan sürekli yük hareketine elektrik akımı denir. Devrede oluşan elektrik akımının yönü, elektronların titreşim hareketine zıt yönde yani pilin (+) kutbundan (—) kutbuna doğru kabul edilmiştir.

Bir iletkenin herhangi bir kesitinden birim zamanda geçen yük miktarına akışım şiddeti denir.
Skaler bir büyüklük olan akım şiddeti, SI birim sistemindeki temel büyüklüklerdendir. Sembolü I, birimi amper ve birim sembolü A dir.
Bir iletkenin herhangi bir kesitinden t sürede geçen toplam yümiktarı q ise iletkenden geçen akım şiddeti,

Burada bahsedilen yük,
- katı hâldeki iletkenlerde elektronlar,
- sıvı haldeki iletkenlerde (+) iyonlar ve (—) iyonlar,
- gaz ve plazma hâldeki iletkenlerde elektronlar, (+) iyonlar ve (—) iyonların taşıdığı yüklerin toplamıdır.
Bir iletkenin Direnci
Bir iletkenden akım geçerken iletken, elektron hareketine karşı direnir ve elektronların enerjisi ısıya ve ışık enerjisine dönüşür. Maddelerin elektron akışına karşı direnme eğilimine direnç denir.
SI birim sistemindeki türetilmiş ve skaler büyüklük olan direncin sembolü R, birimi ohm ve birim sembolü Ω dur.
Düşük sıcaklıklarda süper iletken haline geçen bazı maddelerin dışındaki iletkenlerin direnci vardır. Bu direncin büyüklüğü maddenin elektriği iletme özelliğini belirler.
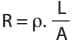
Yapılan deneyler sonucunda bir iletkenin direncinin, iletkenin öz direnci ve uzunluğu ile doğru, iletkenin boyuna dik kesit alanı ile ters orantılı olduğu belirlenmiştir.
Öz direnci ρ, uzunluğu L ve uzunluğuna dik kesit alanı A olan bir iletkenin direnci,
![]()
formülü ile hesaplanır.
Boyu 1 m, kesit alanı 1 m2 olan iletkenin gösterdiği dirence öz direnç denir. Öz direnç maddeler için ayırt edici bir özelliktir.

Bu formül tüm elektrik devrelerinin temelini oluşturur. Elektrik devrelerinde direnç
sembolü ile gösterilir. Bir iletkenin boyu ile direncinin doğru orantılı olarak değişmesinden yararlanılarak yapılmış olan değişken dirençlere reosta denir. Reostalar elektrik devresinde
sembolü ile gösterilir.
Ampermetre
Elektrik devrelerinde akım şiddetini ölçmek için ampermetre kullanılır. Ampermetreler devreye seri bağlanır. Ampermetrelerin iç dirençleri ihmal edilecek kadar küçüktür. Bu nedenle ampermetrelerin uçları arasındaki potansiyel fark sıfır kabul edilir.
Voltmetre
Elektrik devrelerinde bir devre elemanının uçları arasındaki potansiyel farkını ölçmek için voltmetre kullanılır. Voltmetre devre elemanına paralel bağlanır. Voltmetrelerin iç dirençleri çok büyüktür. Bu nedenle voltmetreden geçen akım şiddeti sıfıra çok yakındır ve ihmal edilebilir.

Üreteçler
Elektrik devrelerinde devreye elektrik enerjisi sağlayan üreteçlerin bir adı da elektromotor kuvvet kaynağıdır. Bir üretecin birim yük başına harcadığı enerjiye, o üreticin elektromotor kuvveti (E.M.K) denir. E ile gösterilir.
Bir elektrik devresinde üreteçten q kadar yük geçtiğinde üretecin harcadığı enerji W ise üretecin elektromotor kuvveti,

Elektrik ve Manyetizma
- Elektrostatik
- Elektrik Akımı
- Manyetizma – Mıknatıs